Limit Definition Of Derivative Problems





Solved Hello Below I Solved Some Problems On Alternate F Chegg Com

Solved Hello Below I Solved Some Problems On Alternate F Chegg Com

Derivatives Using Limit Definition Practice Problems Youtube

Derivatives Using Limit Definition Practice Problems Youtube

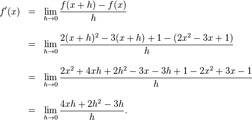
Solved Hello Below I Solved Some Problems On Alternate F Chegg Com

Solved Hello Below I Solved Some Problems On Alternate F Chegg Com

Limit Definition Of Derivative Rational Function Example Youtube

Limit Definition Of Derivative Rational Function Example Youtube

Solved Hello Below I Solved Some Problems On Alternate F Chegg Com

Solved Hello Below I Solved Some Problems On Alternate F Chegg Com

Common Calculus Mistakes Limit Definition Of The Derivative

Common Calculus Mistakes Limit Definition Of The Derivative

Common Calculus Mistakes Limit Definition Of The Derivative

Solved Example 3 Use The Limit Definition To Find The De Chegg Com

Solved Example 3 Use The Limit Definition To Find The De Chegg Com

Finding Derivatives Using The Limit Definition Youtube

Finding Derivatives Using The Limit Definition Youtube

Common Calculus Mistakes Limit Definition Of The Derivative

Common Calculus Mistakes Limit Definition Of The Derivative

007a Sample Midterm 1 Problem 3 Detailed Solution Ucr Math Wiki

007a Sample Midterm 1 Problem 3 Detailed Solution Ucr Math Wiki

Geneseo Math 221 02 Definition Of Derivative 2

Geneseo Math 221 02 Definition Of Derivative 2

Derivative Using The Definition Example 2 Youtube

Derivative Using The Definition Example 2 Youtube

How To Compute Derivatives Video Lesson Transcript Study Com

How To Compute Derivatives Video Lesson Transcript Study Com

Examples Of Math Problems Limit Definition Of Derivatives

Examples Of Math Problems Limit Definition Of Derivatives

Solved For Problems 21 25 Compute The Derivative Of The Chegg Com

Solved For Problems 21 25 Compute The Derivative Of The Chegg Com

Finding A Derivative Using The Definition Of A Derivative Youtube

Finding A Derivative Using The Definition Of A Derivative Youtube

Some Practice Problems For Exam 2 Applied Calculus I Ma 119

Some Practice Problems For Exam 2 Applied Calculus I Ma 119

Calculus Problem Derivative Of A Rational Function By The Definition Rational Function Calculus Definitions

Calculus Problem Derivative Of A Rational Function By The Definition Rational Function Calculus Definitions

Limit Definition Of Derivative Square Root Example Youtube

Limit Definition Of Derivative Square Root Example Youtube

Calculus Board Sessions Session 6 Limits Definition Derivative Find Dy Dx

Calculus Board Sessions Session 6 Limits Definition Derivative Find Dy Dx

Source : pinterest.com